Cara Mengerjakan Uts Dengan Mudah

Kunci Jawaban Matematika Kelas 9 Halaman 46 Latihan 14


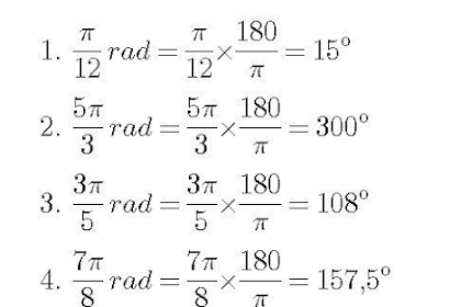
Soal No 13 Latihan 1 4 Kelas 9 Semester 1 Brainly Co Id
brainly.co.id

Http Rumahbelajar Id Media Dokumen 5cdd6510b646044330d686c8 Ae3eef1cc919b981f6b8c1567659016a Pdf

Latihan 1 4 Nomor 1 2 3 4 5 Kelas 9 Smp Mts Pangkat Nol Pangkat Negatif Mtk Bse Revisi 2018 Hal 46 Youtube
m.youtube.com

Pdf Buku Pegangan Guru Matematika Sma Kelas 10 Kurikulum 2013 Edisi Revisi Vivi Rachmani Academia Edu
www.academia.edu

Buku Guru Kelas Ix Matematika K 13
www.slideshare.net

Matematika Kelas 9 Pages 51 100 Text Version Anyflip
anyflip.com

Buku Matematika Smp Kelas Ix Kurikulum 2013
www.slideshare.net

Jawaban Ayo Kita Berlatih 1 4 Nomor 4 Matematika Kelas 8 Semua 1 Brainly Co Id
brainly.co.id

Https Bsd Pendidikan Id Data 2013 Kelas 9smp Guru Kelas 09 Smp Matematika Guru Pdf

Buku Guru Kelas Ix Matematika K 13
www.slideshare.net

Edisi Revisi 2018 Matematika Smp Mts Kelas Di Unduh Dari Bukupaket Com Pdf Free Download
docplayer.info

Https Bsd Pendidikan Id Data 2013 Kelas 12sma Guru Kelas 12 Sma Matematika Guru Pdf

Materi Matematika Kelas Ix Hal 46 Edisi Revisi 2018 Sederhanakan Bentuk Pangkat Berikut Brainly Co Id
brainly.co.id

Matematika X Kunci Jwbn Revisi 2016 Pdf
www.scribd.com

Buku Guru Kelas Ix Matematika K 13
www.slideshare.net

Kunci Jawaban Buku Matematika Kelas 8 Kurikulum 2013 Semester 2 Halaman 22 Guru Ilmu Sosial
www.ilmusosial.id

Doc Lks Matematika Kelas 7 Kurikulum 2013 Putu Eka Academia Edu
www.academia.edu

Buku Guru Kelas Ix Matematika K 13
www.slideshare.net

All Posts Kosingkat
www.kosingkat.id

Buku Siswa Kelas Vii Semester 1 2 K13
www.slideshare.net

Buku Matematika Smp Kelas 9 Semster 1 Kurikulum 2013
www.slideshare.net

Buku Guru Matematika Sma Kelas X Kurikulum 2013 Blogerkupang Com
www.slideshare.net

Matematika Kelas 9 Pages 51 100 Text Version Anyflip
anyflip.com

Latihan 1 4 Nomor 6 7 8 9 10 Kelas 9 Smp Mts Pangkat Nol Bentuk Akar Mtk Bse Revisi 2018 Hal 46 Youtube
www.youtube.com

Matematika Kelas 9 Pages 51 100 Text Version Anyflip
anyflip.com

Lengkap Kunci Jawaban Buku Paket Matematika Latihan 1 4 Pangkat Nol Pangkat Negatif Dan Bentuk Akar Halaman 46 47 47 49 Kelas 9 Kurikulum 2013 Jawaban Buku Paket
www.jawabanbukupaket.com

All Posts Kosingkat
www.kosingkat.id

All Posts Kosingkat
www.kosingkat.id

Perpangkatan Dan Bentuk Akar Smp Kelas 9 Buku Bse Revisi 2018 Matematika Lat 1 4 No 1 7 Youtube
www.youtube.com

Buku Pegangan Guru Matematika Kelas Viii Smp Mts K13
id.scribd.com

All Posts Kosingkat
www.kosingkat.id

Jawaban Latihan 1 4 Matematika Kelas 9 Halaman 46 Perpangkatan Dan Bentuk Akar Bastechinfo
www.bastechinfo.com

Matematika Smp Kelas 9 Semester 1 Kurikulum 2013 Aplikasi Di Google Play
play.google.com

Kunci Jawaban Matematika Kelas 9 Kurikulum 2013 Semester 1 Mata Pelajaran
mata-pelajarankus.blogspot.com

Kunci Jawaban Buku Siswa Matematika Latihan 2 1 Kelas 9 Semester 1 Pentium Sintesi
pentiumsintesi.blogspot.com

Jawaban Soal Buku Paket Matematika Kelas 9 Halaman 49 Nomer 14 Brainly Co Id
brainly.co.id

Kunci Jawaban Buku Matematika Kelas 8 Kurikulum 2013 Semester 2 Halaman 22 Guru Ilmu Sosial
www.ilmusosial.id

Https Bsd Pendidikan Id Data 2013 Kelas 12sma Guru Kelas 12 Sma Matematika Guru Pdf

Kunci Jawaban Matematika Latihan 14 Sanjau Com
www.sanjau.com

Http Rumahbelajar Id Media Dokumen 5cdd6510b646044330d686c8 Ae3eef1cc919b981f6b8c1567659016a Pdf

Buku Guru Kelas Ix Matematika K 13
www.slideshare.net

Buku Guru Kelas Ix Matematika K 13
www.slideshare.net

All Posts Kosingkat
www.kosingkat.id

Lengkap Kunci Jawaban Buku Paket Matematika Latihan 1 4 Pangkat Nol Pangkat Negatif Dan Bentuk Akar Halaman 46 47 47 49 Kelas 9 Kurikulum 2013 Jawaban Buku Paket
www.jawabanbukupaket.com

Https Matematohir Files Wordpress Com 2014 06 Buku Pegangan Guru Matematika Sma Kelas 10 Kurikulum 2013 Edisi Revisi 2014 Pdf

All Posts Kosingkat
www.kosingkat.id

Latihan 1 4 No 1 6 Pangkat Nol Pangkat Negatif Dan Bentuk Akar Matematika Kelas 9 Bab 1 Youtube
www.youtube.com

Latihan 1 3 Nomor 6 7 8 9 10 Kelas 9 Smp Mts Pembagian Bilangan Pangkat Mtk Bse Revisi 2018 Hal 30 Youtube
www.youtube.com

Buku Guru Kelas Ix Matematika K 13
www.slideshare.net

Latihan 1 4 Buku Paket Smp Kelas 9 Hal 46 Kurtilas Tolong Di Bantu Secepatnya Brainly Co Id
brainly.co.id

Kunci Jawaban Buku Siswa Tema 7 Kelas 6 Halaman 120 121 122 123 Di 2020 Dengan Gambar Buku Belajar
www.pinterest.jp

Latihan 1 4 Pangkat Nol Pangkat Negatif Dan Bentuk Akar Jawaban Matematika Nesajamath
nesajamath.blogspot.com

Jawaban Pg Ayo Kita Berlatih 1 4 Halaman 45 Mtk Kelas 7 Bilangan Bastechinfo
www.bastechinfo.com

Jawaban Uji Kompetensi 6 Matematika Kelas 8 Semester 2 Hal 46 Guru Ilmu Sosial
www.ilmusosial.id

Buku Guru Kelas Ix Matematika K 13
www.slideshare.net

Lengkap Kunci Jawaban Buku Paket Matematika Latihan 1 4 Pangkat Nol Pangkat Negatif Dan Bentuk Akar Halaman 46 47 47 49 Kelas 9 Kurikulum 2013 Jawaban Buku Paket
www.jawabanbukupaket.com

Jawaban Ayo Kita Berlatih 1 4 Halaman 22 Dengan Cara Nya Brainly Co Id
brainly.co.id

Latihan 1 4 Nomor 1 2 3 4 5 Kelas 9 Smp Mts Pangkat Nol Pangkat Negatif Mtk Bse Revisi 2018 Hal 46 Youtube
m.youtube.com

All Posts Kosingkat
www.kosingkat.id

Buku Siswa Matematika Kelas 9 Revisi 2018 Compressed Pages 1 50 Text Version Anyflip
anyflip.com

Buku Siswa Matematika Kelas 9 Revisi 2018 Compressed Pages 1 50 Text Version Anyflip
anyflip.com

Matematika Sma Kelas X Semester 1 Siswa Pages 1 50 Flip Pdf Download Fliphtml5
fliphtml5.com

Kunci Jawaban Matematika Kelas 9 Halaman 46 49 Latihan 1 4 Kosingkat
www.kosingkat.id

Sederhanakan Bentuk Akar Berikut Matematika Kelas 9 K13 Halaman 49 1 4 Brainly Co Id
brainly.co.id

Kunci Jawaban Matematika Kelas 9 Halaman 46 49 Latihan 1 4 Kosingkat
www.kosingkat.id

Http Rumahbelajar Id Media Dokumen 5cdd6510b646044330d686c8 Ae3eef1cc919b981f6b8c1567659016a Pdf

Kunci Jawaban Buku Paket Matematika Smp Kelas 9 Uji Kompetensi 1 Hal 58 By Apendi
cyberspaceandtime.com

Buku Guru K 13 Revisi 2016 Kelas 7 Smpmts Matematika
www.yumpu.com

Matematika Halaman 54 Ayo Kita Tinjau Kelas 9 Brainly Co Id
brainly.co.id

Jawaban Uji Kompetensi 6 Matematika Kelas 8 Semester 2 Hal 46 Guru Ilmu Sosial
www.ilmusosial.id

Https Bsd Pendidikan Id Data 2013 Kelas 10sma Siswa Kelas 10 Sma Matematika Siswa 2017 Pdf

Latihan 1 4 Nomor 11 12 13 14 15 Kelas 9 Smp Mts Pangkat Negatif Bentuk Akar Mtk Bse Hal 46 Youtube
www.youtube.com

Jawaban Soal Nomor 7 Amp 9 Halaman 21 Latihan 1 2 Perkalian Pada Perpangkatan Buku Paket Kelas 9 Brainly Co Id
brainly.co.id

Latihan 1 4 Buku Paket Kelas 9 Halaman 46 Nomor 2 Sampai 6 Brainly Co Id
brainly.co.id

All Posts Kosingkat
www.kosingkat.id

Lengkap Kunci Jawaban Buku Paket Matematika Latihan 1 4 Pangkat Nol Pangkat Negatif Dan Bentuk Akar Halaman 46 47 47 49 Kelas 9 Kurikulum 2013 Jawaban Buku Paket
www.jawabanbukupaket.com

Latihan 1 4 Nomor 6 7 8 9 10 Kelas 9 Smp Mts Pangkat Nol Bentuk Akar Mtk Bse Revisi 2018 Hal 46 Youtube
www.youtube.com

All Posts Kosingkat
www.kosingkat.id

Matematika Kurikulum 2013 Kelas 5 Pages 1 50 Flip Pdf Download Fliphtml5
fliphtml5.com

Https Matematohir Files Wordpress Com 2015 06 Buku Pegangan Guru Matematika Smp Kelas 9 Kurikulum 2013 Pdf

Latihan 1 4 No 13 15 Pangkat Nol Pangkat Negatif Dan Bentuk Akar Matematika Kelas 9 Bab 1 Youtube
www.youtube.com

Https Matematohir Files Wordpress Com 2015 06 Buku Pegangan Guru Matematika Smp Kelas 9 Kurikulum 2013 Pdf

Jawaban Buku Matematika Kelas 8 Ayo Kita Berlatih 1 4 Hal 22 Tentukan 3 Bilangan Selanjutnya Pentium Sintesi
pentiumsintesi.blogspot.com

Lengkap Kunci Jawaban Buku Paket Matematika Latihan 1 4 Pangkat Nol Pangkat Negatif Dan Bentuk Akar Halaman 46 47 47 49 Kelas 9 Kurikulum 2013 Jawaban Buku Paket
www.jawabanbukupaket.com

Lengkap Latihan 1 4 Kelas 9 Smp Mts Semester 1 Pangkat Nol Negatif Akar Mtk Bse Revisi 2018 Halmn 46 Youtube
www.youtube.com

Lengkap Kunci Jawaban Buku Paket Matematika Latihan 1 4 Pangkat Nol Pangkat Negatif Dan Bentuk Akar Halaman 46 47 47 49 Kelas 9 Kurikulum 2013 Jawaban Buku Paket
www.jawabanbukupaket.com

Lengkap Kunci Jawaban Buku Paket Matematika Latihan 1 4 Pangkat Nol Pangkat Negatif Dan Bentuk Akar Halaman 46 47 47 49 Kelas 9 Kurikulum 2013 Jawaban Buku Paket
www.jawabanbukupaket.com

Buku Siswa Matematika Kelas 9 Revisi 2018 Kadek
id.scribd.com

Matematika Kelas Matematika Kelas Xi Sma Ma Smk Mak Sma Ma Smk Mak Pdf Download Gratis
docplayer.info

Kunjaw Latihan 1 4 Pangkat Nol Negatif Dan Bentuk Akar Matematika Kelas 9 Smp Mts Sem 1 Hal 46 2020 Youtube
www.youtube.com

Latihan 1 4 Nomor 11 12 13 14 15 Kelas 9 Smp Mts Pangkat Negatif Bentuk Akar Mtk Bse Hal 46 Youtube
www.youtube.com

All Posts Kosingkat
www.kosingkat.id

Soal Dan Pembahasan Lengkap Matematika Uji Kompetensi 8 Segiempat Dan Segitiga Smp Kelas 7 Kurikulum 2013 Revisi 2016 Kedai Mipa
www.allmipa.com

Https Matematohir Files Wordpress Com 2014 06 Buku Pegangan Guru Matematika Sma Kelas 10 Kurikulum 2013 Edisi Revisi 2014 Pdf

Https Matematohir Files Wordpress Com 2015 06 Buku Pegangan Guru Matematika Smp Kelas 9 Kurikulum 2013 Pdf

Kelas Ix Matematika Bs Semester 1 Crc
www.slideshare.net

Jawaban Buku Matematika Kelas 8 Ayo Kita Berlatih 1 4 Hal 22 Tentukan 3 Bilangan Selanjutnya Pentium Sintesi
pentiumsintesi.blogspot.com

Latihan 1 4 Pangkat Nol Pangkat Negatif Dan Bentuk Akar Jawaban Matematika Nesajamath
nesajamath.blogspot.com

Latihan 1 4 Mtk Kelas 9 K13 No 8 15 Pangkat Positif Pangkat Nol Matematika
www.danlajanto.com

Materi Kelas 9 Pangkat Nol Pangkat Negatif Dan Bentuk Akar Tolong Dibantu Bagi Yang Bisa Soal Yg Brainly Co Id
brainly.co.id

close